
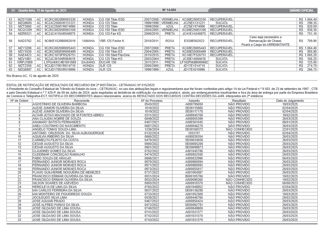
O Departamento Estadual de Trânsito do Acre (Detran-AC) divulgou nesta quarta-feira (13) o edital do leilão público nº 012/2025, que será realizado no município de Feijó no dia 29 de agosto. A sessão será totalmente on-line, a partir das 9h, no site www.wrleiloes.com.br, sob responsabilidade da leiloeira oficial Flavia Correa Duarte Feitosa. O edital foi publicado no Diário Oficial do Estado (DOE).
O leilão inclui automóveis e motocicletas em diferentes condições: veículos recuperáveis, que podem voltar a circular após regularização, e sucatas, destinadas ao reaproveitamento de peças. A inspeção visual dos bens poderá ser feita entre os dias 26 e 28 de agosto, no pátio da Ciretran de Feijó, localizado na Rua Barão do Rio Branco, nº 139, Centro.
Segundo o edital, os veículos classificados como sucata só poderão ser adquiridos por pessoas jurídicas credenciadas no ramo de desmontagem e comércio de peças usadas. Já os recuperáveis podem ser arrematados tanto por pessoas físicas quanto jurídicas, desde que cumpram as exigências do Código de Trânsito Brasileiro e demais normas vigentes.
O arrematante será responsável pelo pagamento do valor do lance, da comissão da leiloeira (5%), do ICMS (3,4%) e de taxas de transferência, licenciamento proporcional e demais custos necessários para regularizar o veículo. O descumprimento dessas obrigações pode resultar em multas, cancelamento da venda e impedimento de participação em futuros leilões do Detran.
O edital completo, com a lista de veículos e valores iniciais, está disponível nos sites www.detran.ac.gov.br e www.wrleiloes.com.br. Mais informações podem ser obtidas pelo telefone 0800 423 0000 ou pelo WhatsApp (95) 99970-3797.
Veja:














